Реагенты > Канифоль

Канифоль купить оптом

Производитель Фасовка Канифоль сосновая оптовая цена
Индонезия Бочки по 240 кг 47 грн/кг

Канифоль купить

Канифоль (колофонская смола) — смесь смоляных кислот различного строения. Строение кислот определяется источником получения канифоли и природой исходного сырья. Канифоль представляя собой хрупкий, стекловидный продукт от светло-желтого до коричневого цвета.

Физико-химические свойства.

Канифоль хорошо растворяется в эфире, спирте, ацетоне, скипидаре и бензоле, хуже — в бензине, керосине и фурфуроле. В воде канифоль нерастворима, при нагревании частично эмульгируется. Легко окисляется кислородом воздуха, особенно в мелкораздробленном состоянии. Плотность 1,070-1,085 1 г/см3 . Температура размягчения канифоли 52-70°С; температура кипения 250°С; теплоёмкость 0, 54 ккал/кг; теплопроводность 0, 11 ккал/м . час . град; скрытая теплота плавления 15, 8 ккал/кг; коэффициент расширения расплавленной канифоли 0,055; теплотворность 9074-9171 ккал/кг; кислотное число 150-175.

Канифоль состоит их кислот смоляных (80-95%), имеющих общую формулу С19Н29СООН, и неомыляемых веществ (5-12%), которые содержат метилхавикол, стильбеновые производные, терпеновые димеры, альдегиды и смесь гидрофенантреновых углеводородов. С минеральными и органическими основаниями канифоль даёт соли — канифольное мыло (например, С19Н29СООNa), а с различными гидроксилсодержащими соединениями — эфиры канифоли и другие ценные продукты.

Канифоль содержит следующие смоляные кислоты:

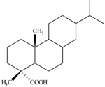
1.абиетиновая кислота

абиетиновая кислота в составе канифоли

2.дегидроабиетиновая кислота

дегидроабиетиновая кислота в составе канифоли

3.левопимаровая кислота

левопимаровая кислота в составе канифоли

4.неоабиетиновая кислота

неоабиетиновая кислота в составе канифоли

5.палюстровая кислота

палюстровая кислота в составе канифоли

6.пимаровая кислота

пимаровая кислота в составе канифоли

7.сандаракопимаровая кислота

сандаракопимаровая кислота в составе канифоли

8.тетрагидроабиетиновая кислота.

тетрагидроабиетиновая кислота в составе канифоли

Наибольшей склонностью к окислению в чистом виде обладает абиетиновая кислота, тогда как неоабиетновая, дегидроабиетиновая, палюстровая, левопимаровая, изопимаровая, пимаровая кислоты при хранении их на воздухе более 5 лет остаются неизменными.

Применение.

Канифольные клеи.

канифольный клей

Канифольные клеи занимают доминирующее положение в спектре клеев для бумаги и картона.

Технология производства клея из канифоли:

Смолы, которые содержатся в канифоли переводят из гидрофобного состояния в гидрофильное. Поэтому первой стадией изготовления клея является варка клея, то есть нейтрализация смоляных кислот водным раствором щелочи при повышенной температуре. Часто этот процесс называют омылением канифоли из-за сходства продуктов омыления солей щелочных металлов и смоляных кислот-смолянокислого натрия с мылами. Полученный продукт является промежуточным и представляет собой концентрированную, с содержанием 60-70 % по массе сухих веществ, однородную пасту от темно-серого до коричневого цвета.

Вторым процессом при приготовлении клея, является диспергирование, или разбавление в воде, клея-пасты, то есть получение собственно коллоидного раствора гидрофобного материала. Диспергирование протекает либо самопроизвольно, либо с помощью специальной аппаратуры: паровых эжекторов или роторно-пульсационных аппаратов. Использование того или иного метода зависит от требуемой дисперсности коллоидных частиц, которая в любом случае должна быть, возможно, максимальной. На этой стадии получают растворы с концентрацией 80-120 г/л.

Для омыления 100 кг канифоли требуется в соответствии с условиями стехиометрии 13,2 кг едкого натра или 17,5 кг соды. В зависимости от содержания в клее свободной неомыленной смолы различают: канифольный бурый, белый и высокосмоляной клей. Кроме того, в настоящее время широко применяются композиционный и пековый клей.

Канифольный бурый клей практически не содержит свободной смолы, при его получении задают столько щелочи на варку, чтобы нейтрализовать все смоляные кислоты. Получаемая клей-паста легко диспергируется в воде (даже самопроизвольно), образуя при этом прозрачный коллоидный раствор бурого цвета. Коллоидные частицы характеризуются как среднедисперстные и эффективность клея достаточно высока.

Канифольный белый клей обычно содержит 10-30 % свободной смолы. Содержание в готовом клее-пасте неомыляемых смоляных кислот существенно сказывается на диспергируемости и свойствах клея. С увеличением свободной смолы свыше 20 % возрастает мутность клеевого раствора, он становится более блеклым и жидкотекучим. При этом стабильность снижается, так как коллоидные мицеллы, находившиеся в гидрофильном состоянии, переходят в гидрофобные коллоидные дисперсии. Практика показала, что нейтральный клей с содержанием 15-20 % свободной смолы обладает наибольшей стабильностью. Полностью омыленный неразбавленный клей склонен к отслаиванию.

Для получения коллоидного раствора требуется специальных методов, в частности способы Эрфурта и Арледтера. Первый из этих способов является одноступенчатым. В инжекторе-распылителе предварительно нагретый смоляной клей перемешивается и распыляется под давлением паровой струи. Основным недостатком метода Эрфурта является непосредственный контакт смолы и пара. Кроме того, температура клеевого молочка сравнительно высока, что приводит к нежелательной коагуляции, выражающейся в смоляных пятнах в бумаге. Внедрение способа многоступенчатой инжекции Арледтера позволило устранить непосредственное воздействие пара и снизить температуру клеевого молочка. Однако и этот метод не удовлетворяет все возрастающие требования в отношении стабильности раствора клеевых частиц.

Полученный коллоидный раствор характеризуется более высокой степенью дисперсности клеевых частиц по сравнению с бурым, мутностью, непрозрачностью, белым или слегка желтоватым цветом. По своей проклеивающей способности он эффективнее бурого клея. Высокосмоляной клей содержит до 80 % свободной смолы и характеризуется высокой степенью дисперсности частиц и проклеивающей эффективностью. Преимущество высокосмоляного клея послужило толчком к разработке практических способов его получения. Если известно число омыления, не составляет труда обработать лишь некоторую часть канифоли, используя для этого небольшое количество едкого натра. Проблема заключается в том, чтобы частично омыленную канифоль довести до максимальной дисперсности в воде. При наличии высококачественных сортов светлой канифоли несклонной к кристаллизации, можно получить стабильные дисперсии с содержанием свободной смолы до 90 %, что достигается м соответствующих защитных коллоидов и эмульгаторов. Однако содержание в клее свободной смолы не должно превышать определенных пределов, так как это затрудняет диспергирование.

Клей с высоким содержанием свободной смолы приготавливался прежде без применения эмульгаторов. Упомянутые выше способы Эрфурта и Арледтера предусматривали изготовление клея с содержанием свободной смолы до 50-60 %. Положение изменилось с применением гомогенизаторов, работающих под давлением, а также защитных коллоидов (способы Жилетт, Триплекс, Штульмана).

Решение проблемы принадлежит Б.Вигеру, разработавшему способ приготовления клея Бевойд, позволивший выпускать его в промышленных масштабах и вытеснивший большую часть методов, ранее применяемых на бумажных фабриках. Основным узлом системы для приготовления клея является диспергатор, представляющий бак особой конструкции, снабженный мешалкой с двух ступенчатой передачей на 60 об/мин. При изготовлении дисперсий клея Бевойд измельченная канифоль расплавляется и медленно перемешивается. Затем она частично омыляется 45-% раствором едкого натра, что сопровождается быстрым перемешиванием и диспергированием в присутствии казеина, растворенного в щелочи. Клей разводят вначале горячей водой, а затем холодной водой. Готовая клеевая дисперсия в зависимости от сорта канифоли может содержать от 70 до 90 % свободной смолы, даже при концентрации 35- 45 % клей является жидкотекучим. Внешне раствор похож на клеевое молочко от белого до желто-белого цвета. Дальнейшее разведение клея в случае необходимости может производиться холодной водой.

С точки зрения коллоидной химии клей Бевойд представляет собой коллоидную дисперсию, состоящую из частиц шаровой формы, заключенных в оболочку защитного коллоида. Благодаря этому достигается повышенная стабильность клея, и возможность хранения его в течение длительного времени. Однако дисперсии следует предохранять от воздействия холода и температуры выше 45°С, они теряют стабильность и деструктируют. С помощью особой технологии производства получают частицы очень малой величины, находящиеся в состоянии непрерывного хаотического перемещения, согласно теории бруоновского движения молекул. Диаметр частиц в условиях высокой дисперсности составляет 0,5-0,15 мк. Если диспергирование неполное, то частицы имеют диаметр 3-5 мк, происходит их седиментирование и стабильность клея снижается.

Весьма стабильные дисперсии высокосмоляного клея можно получить методом Хагойд, предложенный Г. Граскофом. Размер частиц клея Хагойд чрезвычайно равномерен и несколько меньше, чем у клея Бевойд. Особенность способа заключается в замене около 25 % канифоли каким-либо другим дешевым материалом, частицы которого образуют клеевое ядро. Таким заместителем является каолин особого сорта, известный под маркой “ Koloisol “. При концентрации 40 % такие дисперсии, содержащие 30 % канифоли, являются жидкотекучими, а наполнителя экономит расход канифоли.

Следует упомянуть еще об одном способе приготовления клея, известный под названием “Prosize”. В этом случае канифоль подвергается сильному омылению, а для стабилизации применяют защитный коллоид (казеин или соевый протеин) и борную кислоту. В полученную дисперсию клея с высоким содержанием свободной смолы дополнительно вводят защитный коллоид в целях большей стабилизации.

Высокосмоляные дисперсии с успехом используются при избыточной жесткости воды, так как они менее чувствительны к ней, чем нейтральный канифольный клей. Положительным фактором также является низкая температура спекания, особенно, при производстве высокосортных бумаг.

В производстве канифольных клеев долгое время использовалась исключительно живичная канифоль. Поэтому вышеописанные технологии приготовления были разработаны для нее. В настоящее время стремительное развитие сульфатцеллюлозного производства и тенденция на утилизацию побочных продуктов, привели к выработке талловой канифоли, ставшей заменителем дефицитной живичной.

Применение канифоли в производстве пластилина.

применение канифоли при изготовлении пластилина

Канифоль вводят в состав пластилина с целью увеличения твердости. Технология производства пластилина:

В смеситель реакторного типа (в котёл с мешалкой), обогреваемый паром, загружают предварительно расплавленный петролатум, парафин, канифоль, всё перемешивают, постепенно присыпая глину и пигмент. Через полтора часа сливают горячую массу в бункер - охладитель. В бункере чуть погрузившись в пластилин, вращается барабан, охлаждаемый изнутри водой. Барабан захватывает массу и наматывает ее на себя в виде тонкой непрерывной ленты. В тонком слое пластилин моментально застывает, и его срезают с барабана специальными ножами. Полученные пластилиновые ленты горизонтальным шнек - прессом продавливают через фильеры, из которых выползают брусочки с волнистой поверхностью. Тёплые брусочки подхватывают работницы и укладывают на деревянные лотки. Для каждого цвета пластилина своя линия - от котла до шнека с фильерами. Все они работают параллельно в одном цехе. Объединяет их общий конвейер. Готовый пластилин обязательно проходит через ОТК. Здесь смотрят как хорошо он размягчается и пригоден ли к лепке. Для этого кусочек пластилина ( 10 грамм ) разминают в течение трех минут, формуют в стержень диаметром 10-12 миллиметров и загибают его под углом 90 градусов. Если пластилин хорош, то на месте перегиба не должны появляться трещины. Кроме этого пластилин не должен прилипать к рукам, рваться при моделировании, окрашивать воду и т.п.

Состав пластилина: петролатум - 37%, парафин нефтяной - 12%, канифоль сосновая - 1%, каолин - 46.4%, белила цинковые - 3.6%. Добавляя разные пигменты меняют цвет массы.

Применение канифоли в источниках электрической энергии.

применение канифоли  при изготовлении электретов

Диэлектрические свойства канифоли используются в производстве электретов. Электреты - это поляризованные диэлектрики, состоящие из жестких электрических диполей, которые в электрическом поле напряженностью около 10 000 В/см переводятся в аморфное твердое состояние и сохраняют поляризацию длительное время. Таким образом, электреты являются аналогом постоянного магнита, но обладают не магнитным полем, а электростатическим полем.

Технология производства электрета с применением канифоли:

Нагревают 2-5 г касторового масла до температуры 75-90 °С и высыпают в него при помешивании 50 г мелкоизмельченной канифоли. После чего расплав наливают в плоский стеклянный сосуд или на предметное стекло и помещают его между электродами, на которые подается напряжение от высоковольтного выпрямителя (5 -10 кВ) или электростатической машины. Толщина слоя диэлектрика должна быть менее 4 мм. После остывания канифоль достается из сосуда. Электрет готов.

Применение канифоли в медицине.

применение канифоли в медицине

Канифоль входит в состав пластырей. Пластыри — лекарственная форма для наружного применения, обладающая способностью прилипать к коже, оказывающая действие на кожу, подкожные ткани и в ряде случаев общее воздействие на организм.

Канифоль придает пластырной массе большую липкость. В зависимости от назначения пластырей в составе пластырной массы содержится от 10 до 27% канифоли.

Канифоль также входит в состав клеола. Клеол - специальный клей для фиксации хирургических повязок на поверхности кожи. Представляет собой прозрачную клейкую густоватую жидкость желтовато- или красновато-бурого цвета с запахом эфира, слабокислой реакции. Состоит из: канифоли 45,0 частей; спирта этилового 95% 37 частей; эфира медицинского 17,0 частей; масла подсолнечного 1,0 часть.

Технология приготовления клеола:

В реактор отвешивают необходимое количество спирта. Канифоль измельчают, отвешивают и упаковывают в марлевый мешок, который подвешивают в реактор со спиртом для растворения канифоли (гравитационный способ). К полученному раствору добавляют отвешенное количество подсолнечного масла и эфира, растворяют при перемешивании. Раствор отстаивают в течение суток и фильтруют. Разливают во флаконы по 50,0 мл. Стандартизацию препарата проводят по кислотному числу (60—93) и сухому остатку (45—54%).

Применение янтарной канифоли.

применение канифоли при изготовлении музыкальных инструментов

Янтарную канифоль получают из янтаря. Янтарная канифоль применяется для изготовления всевозможных лаков и эмалей. Лаком покрывают днища кораблей, внутреннюю поверхность жестяных консервных банок, полы, мебель, музыкальные инструменты, шерсть. Мебель, покрытая янтарным лаком, долго сохраняет блеск и свежесть полировки. Янтарный лак наносили на свои изделия знаменитые скрипичные мастера. Лаки применяются также в проиводстве типографских красок и для электроизоляции проводов.

Применение канифоли для соединения деталей электронной аппаратуры.

применение канифоли для пайки мягкими припоями

Канифоль используют в качестве флюса для пайки мягкими припоями (в сухом виде или раствор её в спирте). Канифоль относится к химически пассивным флюсам (бескислотным). Самое ценное свойство канифоли, как флюса, заключается в том, что ее остатки после пайки не вызывают коррозии металлов. Канифоль не обладает ни восстанавливающими, ни растворяющими свойствами. Она служит исключительно для предохранения места пайки от окисления. Для приготовления спиртово-канифольного флюса берется одна весовая часть толченой канифоли, которая растворяется в шести весовых частях спирта. После полного растворения канифоли флюс считается готовым. При применении канифоли места пайки должны быть тщательно очищены от окислов. Часто для пайки с канифолью детали следует предварительно облуживать.

Применение канифоли для пенообразования при производстве мыла.

использования канифоли в производстве мыла

Когда варят мыло, добавляют канифоли, чтобы мыло давало больше пены. Канифоль используют в производстве хозяйственных мыл в количестве 10-15%. Если будет использовано большое количество канифоли, то мыло приобретает липкое свойство, при этом снижается его моющее действие.

Применение канифоли для пенообразования при производстве пенобетона.

применение канифоли при изготовлении бетона

Классическая технология изготовления пенобетона заключается в смешении заранее подготовленной пены с растворной смесью. Концентрат пенообразователя и воду для приготовления пены дозируют по объему. Готовый раствор смешивают, получая пенообразователь для пенобетона. Пенообразователь поступает в пеногенератор для получения пены. В бетоносмеситель загружают воду, цемент и песок — по массе и подготавливают растворную смесь. Затем в бетоносмеситель подается пена из пеногенератора и перемешивается в течение 3-х 5-ти минут. Далее пенобетон, приготовленный в бетоносмесителе, транспортируется, посредством гибкого рукава, к месту укладки, в формы или опалубку.

Расход пеноконцентрата зависит от его марки, и не превышает 2 кг на 1 м3 пенобетона. Для приготовления клееканифольного пеноконцентрата используются следующие материалы:

1. Канифоль сосновая 150 кг.

2. Клей костный (клей столярный) 100 кг.

3. Сода каустическая (натрия гидрооксид) 15 кг.

Применение канифоли в лакокрасочных материалах.

Применение канифоли в лакокрасочных материалах

В лакокрасочных материалах канифоль обычно не применяют в качестве пленкообразующего вещества. Это связано с недостатками канифоли: сравнительно низкая температура размягчения, высокое кислотное число, низкая водостойкость, мягкость, хрупкость, липкость, малая устойчивость к окислению на воздухе. Но канифоль часто используют для модифицирования природных и синтетических олигомеров.

Широкое в лакокрасочной промышленности находят продукты обработки и модификации канифоли, обладающие более высокими характеристиками по сравнению с канифолью. К ним относятся: резинаты, эфиры канифоли, аддукты канифоли.

Резинаты - соли смоляных кислот канифоли С19Н29СООМе. Их получают осаждением из водно-щелочных растворов смоляных кислот металлами или сплавлением оксидов этих металлов с канифолью. Резинаты хорошо растворимы в уайт-спирите и совместимы с маслами. В качестве сиккативов широкое имеют резинаты тяжелых металлов. Резинат натрия обладает хорошими моющими свойствами и способностью к пенообразованию, применяют в производстве мыла.

Водные коллоидные растворы резинатов калия и натрия являются хорошими эмульгаторами, используемыми при получении полимеров эмульсионным способом.

Эфиры канифоли широко применяются в лакокрасочной промышленности. В основном используется глицериноый эфир и пентаэритритовый эфир. Преимуществом этих эфиров по сравнению с канифолью является низкое кислотное число, что позволяет применять их в различных лакокрасочных композициях. Пентаэритритовые эфиры обладают более ценными свойствами, чем глицериновые. Они имеют более высокую температуру размягчения, способствуют повышению скорости высыхания покрытий при добавлении к различным пленкообразующим веществам и повышению твердости покрытий. Пентаэритритовый эфир канифоли и тунговое масло придают покрытиям высокую водостойкость, что обусловило их в лаках для окраски морских судов, самолетов и т.д.

Аддукты канифоли. В лакокрасочной промышленности получил распространение аддукт канифоли, получаемый по реакции Дильса-Альдера взаимодействием малеинового ангидрида с L-пимаровой кислотой. Этот аддукт может быть использован как добавка к другим пленкообразующим веществам, способствующая повышению твердости и глянца покрытия. Аддукт малеинового ангидрида и канифоли можно применять в качестве трехосновной кислоты в производстве некоторых синтетических смол и в качестве заменителей спирторастворимых природных смол в некоторых лаках, например, в нитрат-целлюлозных.

Получение.

В зависимости от вида сырья и способа получения различают следующие виды канифоли: живичную, экстракционную и таловую. Живичную канифоль получают отгонкой скипидара из очищенной живицы. Этот вид канифоли содержит 5-7% неомыляемых веществ и практически не содержит жирных кислот. Экстракционную канифоль получают экстракцией органическими растворителями (чаще всего бензином) измельчённой смолистой древесины хвойных деревьев (обычно сосны обыкновенной). Этот вид канифоли отличается от живичной более тёмным цветом, имеет пониженное кислотное число (150-155), температуру размягчения 52-58°С, содержание жирных кислот до 12%. При осветлении экстракционной канифоли её свойства и ценности аналогичны живичной.

Талловую канифоль получают фракционной перегонкой таллового масла. Современные ректификационные установки позволяют получить продукт с температурой плавления в пределах 50-60°С и кислотным числом 160-170 мг КОН / 1 г канифоли.

Талловая канифоль состоит в основном из абиетиновой кислоты, в ней совершенно отсутствует левопимаровая кислота, непременный компонент живичной канифоли, обладающий сопряженными двойными связями. Отсутствие в талловой канифоли перечисленных выше смоляных кислот вызвано нагреванием сырого таллового масла в процессе производства сульфатной целлюлозы и при вакуумной перегонке. Если образование и переход левопимаровой кислоты в неоабиетиновую кислоту, а в дальнейшем в поллюстровую и абиетиновую кислоты является обратимым процессом для канифоли, у талловой смолы абиетиновая и дигидроабиетиновая кислоты, как и дегидроабиетиновая уже не находятся в равновесии и, за исключением абиетиновой, не изомеризуются. Вследствие высокого содержания абиетиновой кислоты, являющейся ненасыщенным соединением с сопряженными двойными связями, талловые смолы по сравнению с канифолью обладают более высокой способностью к кристаллизации и окислению кислородом воздуха.